⇦ 1293 1295 ⇨

Правильні відповіді та готові домашні завдання, а саме
Екстра ГДЗ
- Про портал
- Privacy Policy
- copyright

Правильні відповіді та готові домашні завдання, а саме
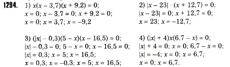
Вправа 1294 гдз з математики6 клас автора Н.А.Тарасенкова, І.М.Богатирьова, О.М.Коломієць, З.О.Сердюк.
розділ підручника:Розділ 4. Раціональні числа та дії з нимиВчитись на відмінно дуже просто!
Достатньо виконувати домашню роботу в чорновику, а потім перевірити разом з Екстра ГДЗ 6 клас матемТарасенкова
Отримуй завжди високі бали! Бо відповіді та гдз Вправа 1294 є перевірені і правильно виконані. Тому у тебе є змога завжди за допомогою Екстра ГДЗ з математики для 6 класу автора Н.А.Тарасенкова, І.М.Богатирьова, О.М.Коломієць, З.О.Сердюк. видавництва Освіта2014 року вже прямо зараз братись за домашні завдання.
Готовые домашние задания и ответы для страницы или упражнения, решебник с математика 6 класс Тарасенкова