⇦ 347 349 ⇨

Правильні відповіді та готові домашні завдання, а саме
Екстра ГДЗ
- Про портал
- Privacy Policy
- copyright

Правильні відповіді та готові домашні завдання, а саме
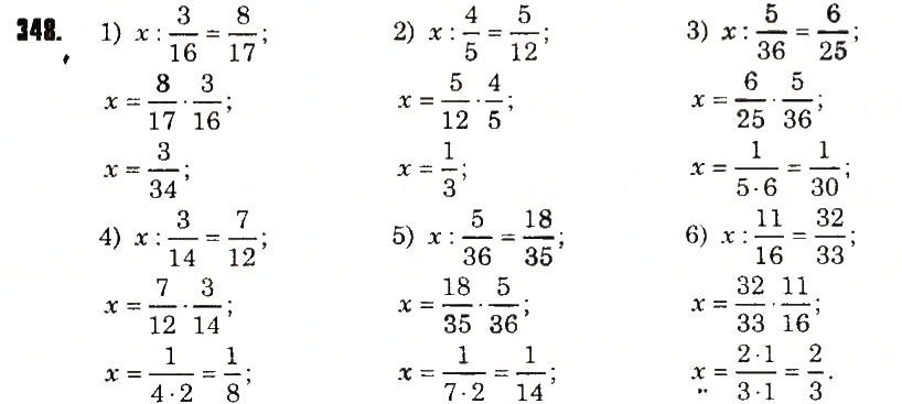
Вправа 348 гдз з математики 6 клас автора Н.А.Тарасенкова, І.М.Богатирьова, О.М.Коломієць, З.О.Сердюк.
розділ підручника:Розділ 2. Звичайні дроби та дії з нимиОтримуй швидкий доступ до правильних домашніх завдань разом з сайтом Екстра ГДЗ. Достатньо у своєму браузері зберегти закладку сайту Екстра ГДЗ!
Готуйся з однокласниками до уроків разом з 6 клас матем Тарасенкова
Отримуй завжди високі бали! Бо відповіді та гдз Вправа 348 є перевірені і правильно виконані. Тому у тебе є змога завжди за допомогою Екстра ГДЗ з математики для 6 класу автора Н.А.Тарасенкова, І.М.Богатирьова, О.М.Коломієць, З.О.Сердюк. видавництва Освіта2014 року вже прямо зараз братись за домашні завдання.
Готовые домашние задания и ответы для страницы или упражнения, решебник с математика 6 класс Тарасенкова