⇦ 1006 1008 ⇨

Правильні відповіді та готові домашні завдання, а саме
Екстра ГДЗ
- Про портал
- Privacy Policy
- copyright

Правильні відповіді та готові домашні завдання, а саме
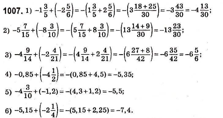
Вправа 1007 гдз з математики6 клас автора О.С. Істер
розділ підручника:РОЗДІЛ 4. РАЦІОНАЛЬНІ ЧИСЛА І ДІЇ НАД НИМИОтримуй швидкий доступ до правильних домашніх завдань разом з сайтом Екстра ГДЗ. Достатньо у своєму браузері зберегти закладку сайту Екстра ГДЗ!
Готуйся з однокласниками до уроків разом з 6 клас матемІстер
Отримуй завжди високі бали! Бо відповіді та гдз Вправа 1007 є перевірені і правильно виконані. Тому у тебе є змога завжди за допомогою Екстра ГДЗ з математики для 6 класу автора О.С. Істер видавництва Генеза2014 року вже прямо зараз братись за домашні завдання.
Готовые домашние задания и ответы для страницы или упражнения, решебник с математика 6 класс Истер