⇦ 282 284 ⇨

Правильні відповіді та готові домашні завдання, а саме
Екстра ГДЗ
- Про портал
- Privacy Policy
- copyright

Правильні відповіді та готові домашні завдання, а саме
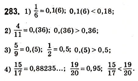
Вправа 283 гдз з математики 6 клас автора О.С. Істер
розділ підручника:РОЗДІЛ 2. ЗВИЧАЙНІ ДРОБИОтримуй швидкий доступ до правильних домашніх завдань разом з сайтом Екстра ГДЗ. Достатньо у своєму браузері зберегти закладку сайту Екстра ГДЗ!
Готуйся з однокласниками до уроків разом з 6 клас матем Істер
Отримуй завжди високі бали! Бо відповіді та гдз Вправа 283 є перевірені і правильно виконані. Тому у тебе є змога завжди за допомогою Екстра ГДЗ з математики для 6 класу автора О.С. Істер видавництва Генеза2014 року вже прямо зараз братись за домашні завдання.
Готовые домашние задания и ответы для страницы или упражнения, решебник с математика 6 класс Истер