
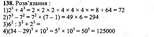
Зробити уроки вдома чи в школі тепер без лишніх складностів, бо на Екстра ГДЗ правильні відповіді Вправа 138 гдз з математики 5 клас автора Мерзляк А.Г., Полонський В.Б., Якір М.С розділ підручника: Варіант 2
Завдання чи вправи до підручника за шкільною програмою роз'язані правильно. Відповідно разом з Екстра ГДЗ
Поділіться готовими домашніми завданнями з однокласниками. І завжди разом потрібно перевіряти свої рішення та готуватись до уроків разом з 5 клас математика Мерзляк
Вчися тільки на відмінно! Бо відповіді та гдз Вправа 138 є перевірені і правильні. Тому у тебе є змога завжди за допомогою Екстра ГДЗ з математики для 5 класу автора Мерзляк А.Г., Полонський В.Б., Якір М.С видавництва Гімназія 2013 року вже прямо зараз братись за домашні завдання.
Готовые домашние задания и ответы для страницы или упражнения, решебник с математика 5 класс Мерзляк Полонский Якир