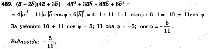
Вправа 489 геометрія 9 клас Істер 2017

  1. Екстра ГДЗ
  2. 9 клас
  3. геометрія
  4. Істер


⇦ 488 490 ⇨

Вправа 489 геометрія 9 клас Істер 2017



На даній сторінці надані відповіді для

Вправа 489 гдз з геометрії 9 клас автора Істер О.С.

з розділу підручника: Розділ 2. ВЕКТОРИ НА ПЛОЩИНІ

Живи на яскравій стороні. Вчись на відмінно.

Мотиваційна фраза від Екстра ГДЗ: "Пройде 3-15 років, і ти будеш більше шкодувати про те, чого не зробив, ніж про те, що зробив не так."

Чому не обійтись без Вправа 489 гдз 9 клас геометрія Істер?

Тут перевірені відповіді та готові домашні завдання ГДЗ. Ці відповіді та гдз Вправа 489 допоможуть тобі швидко звіритись з виконаними завданнями на чорновику. Безпосередньо у тебе є змога завжди за допомогою Екстра ГДЗ з геометрії для 9 класу автора Істер О.С. видавництва Оріон 2017 року вже прямо зараз братись за перевірку домашніх шкільних завдань.

Готовые домашние задания и ответы для страницы или упражнения, решебник с геометрия 9 класс Истер

Екстра ГДЗ - Про портал - Privacy Policy - copyright