⇦ 19.10 19.12 ⇨

На даній сторінці надані відповіді для
Екстра ГДЗ
- Про портал
- Privacy Policy
- copyright

На даній сторінці надані відповіді для
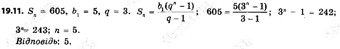
Вправа 19.11 гдз з алгебри 9 клас автора Мерзляк А. Г., Полонський В. Б., Якір М. Ц.
з розділу підручника: § 3. Числові послідовностіЖиви на яскравій стороні. Вчись на відмінно.
Мотиваційна фраза від Екстра ГДЗ: "Будьте щасливі тут і зараз, інакше це ніколи не трапиться."
Чому не обійтись без Вправа 19.11 гдз 9 клас алгебра Мерзляк Полонський Якір?
Тут перевірені відповіді та готові домашні завдання ГДЗ. Ці відповіді та гдз Вправа 19.11 допоможуть тобі швидко звіритись з виконаними завданнями на чорновику. Безпосередньо у тебе є змога завжди за допомогою Екстра ГДЗ з алгебри для 9 класу автора Мерзляк А. Г., Полонський В. Б., Якір М. Ц. видавництва Гімназія 2017 року вже прямо зараз братись за перевірку домашніх шкільних завдань.Готовые домашние задания и ответы для страницы или упражнения, решебник с алгебра 9 класс Мерзляк Полонский Якир