⇦ 850 852 ⇨

На даній сторінці надані відповіді для
Екстра ГДЗ
- Про портал
- Privacy Policy
- copyright

На даній сторінці надані відповіді для
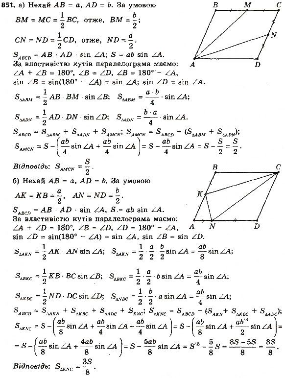
Вправа 851 гдз з геометрії 8 клас автора А.Г. Мерзляк, В.Б. Полонський, М.С. Якір
з розділу підручника: Вправи для повторення курсу геометрії 8 класуЖиви на яскравій стороні. Вчись на відмінно.
Мотиваційна фраза від Екстра ГДЗ: "Умій відпускати, хоча б тому, що вантаж минулого занадто важкий, щоб нести його на собі."
Чому не обійтись без Вправа 851 гдз 8 клас геометрія Мерзляк Полонскький Якір?
Тут перевірені відповіді та готові домашні завдання ГДЗ. Ці відповіді та гдз Вправа 851 допоможуть тобі швидко звіритись з виконаними завданнями на чорновику. Безпосередньо у тебе є змога завжди за допомогою Екстра ГДЗ з геометрії для 8 класу автора А.Г. Мерзляк, В.Б. Полонський, М.С. Якір видавництва Гімназия 2016 року вже прямо зараз братись за перевірку домашніх шкільних завдань.Готовые домашние задания и ответы для страницы или упражнения, решебник с геометрия 8 класс Мерзляк Полонский Якир