⇦ 180 182 ⇨

На даній сторінці надані відповіді для
Екстра ГДЗ
- Про портал
- Privacy Policy
- copyright

На даній сторінці надані відповіді для
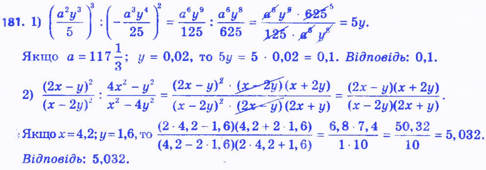
Вправа 181 гдз з алгебри 8 клас автора Істер О.С.
з розділу підручника: Розділ 1. Раціональні виразиЖиви на яскравій стороні. Вчись на відмінно.
Мотиваційна фраза від Екстра ГДЗ: "Іноді тобі потрібно зробити крок назад, вдихнути глибше, і нагадати собі хто ти і ким ти хочеш бути."
Вправа 181 гдз 8 клас алгебра Істер
Тут перевірені відповіді та готові домашні завдання ГДЗ. Адже відповіді та гдз Вправа 181 є перевірені і правильні. Безпосередньо у тебе є змога завжди за допомогою Екстра ГДЗ з алгебри для 8 класу автора Істер О.С. видавництва Генеза 2016 року вже прямо зараз братись за домашні завдання.
Готовые домашние задания и ответы для страницы или упражнения, решебник с алгебра 7 класс Істер