⇦ 386 388 ⇨

Готуватись до уроків простіше, тобі в цьому допоможе
Екстра ГДЗ
- Про портал
- Privacy Policy
- copyright

Готуватись до уроків простіше, тобі в цьому допоможе
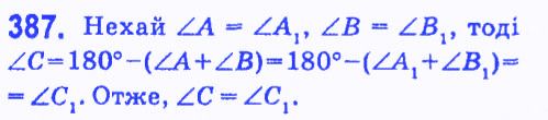
Вправа 387 гдз з геометрії 7 клас автора Мерзляк А. Г., Полонський В. Б., Якір М. С.
розділ підручника:§ 3. Паралельні прямі. Сума кутів трикутникаПовні відповіді та готові домашні завдання ГДЗ.
Деякі люди хочуть щоб це сталося, деякі бажають щоб це сталося а деякі просто роблять це реальністю. 7 клас геометрия Мерзляк Полонський Якір
Отримуй завжди високі бали! Бо відповіді та гдз Вправа 387 є перевірені і правильні. Відповідно у тебе є змога завжди за допомогою Екстра ГДЗ з геометрії для 7 класу автора Мерзляк А. Г., Полонський В. Б., Якір М. С. видавництва Гімназія 2015 року вже прямо зараз братись за домашні завдання.
Готовые домашние задания и ответы для страницы или упражнения, решебник с геометрія 7 класс Мерзляк Полонский Якир