⇦ 664 666 ⇨

Готуватись до уроків простіше, тобі в цьому допоможе
Екстра ГДЗ
- Про портал
- Privacy Policy
- copyright

Готуватись до уроків простіше, тобі в цьому допоможе
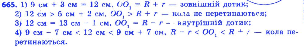
Вправа 665 гдз з геометрії 7 клас автора Істер О. С.
розділ підручника:Розділ 4. Коло і круг. Геометричні побудовиПовні відповіді та готові домашні завдання ГДЗ.
Ми добилися б набагато більше, якщо б не рахували що це неможливо. 7 клас геометрия Істер
Отримуй завжди високі бали! Бо відповіді та гдз Вправа 665 є перевірені і правильні. Відповідно у тебе є змога завжди за допомогою Екстра ГДЗ з геометрії для 7 класу автора Істер О. С. видавництва Генеза 2015 року вже прямо зараз братись за домашні завдання.
Готовые домашние задания и ответы для страницы или упражнения, решебник с геометрія 7 класс Истер