⇦ 83 85 ⇨

Готуватись до уроків простіше, тобі в цьому допоможе
Екстра ГДЗ
- Про портал
- Privacy Policy
- copyright

Готуватись до уроків простіше, тобі в цьому допоможе
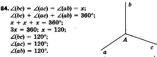
Вправа 84 гдз з геометрії 7 клас автора Єршова А. П., Голобородько В. В., Крижановський О.
розділ підручника:Розділ 1. Елементарні геометричні фігури та їхні властивостіПовні відповіді та готові домашні завдання ГДЗ.
В момент прийняття будь якого рішення, краще що ви можете зробити це правильне рішення. Наступне правильне рішення ви можете зробити, якщо зробите помилку. Але найгірше в будь якому рішенні це взагалі нічого не робити. 7 клас геометрия Єршова
Отримуй завжди високі бали! Бо відповіді та гдз Вправа 84 є перевірені і правильні. Відповідно у тебе є змога завжди за допомогою Екстра ГДЗ з геометрії для 7 класу автора Єршова А. П., Голобородько В. В., Крижановський О. видавництва Ранок 2015 року вже прямо зараз братись за домашні завдання.
Готовые домашние задания и ответы для страницы или упражнения, решебник с геометрія 7 класс Ершова, Голобородько, Крижановский