⇦ 14 16 ⇨

Готуватись до уроків простіше, тобі в цьому допоможе
Екстра ГДЗ
- Про портал
- Privacy Policy
- copyright

Готуватись до уроків простіше, тобі в цьому допоможе
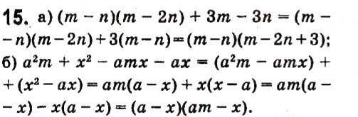
Завдання 15 Розділ 3 гдз з алгебри7 клас автора В.Р. Кравчук, М.В. Підручна, Г.М. Янченко
розділ підручника:Завдання для самоперевiркиВчитись на відмінно дуже просто!
Достатньо виконувати домашню роботу в чорновику, а потім перевірити разом з Екстра ГДЗ 7 клас алгебраКравчук
Отримуй завжди високі бали! Бо відповіді та гдз Завдання 15 Розділ 3 є перевірені і правильні. Відповідно у тебе є змога завжди за допомогою Екстра ГДЗ з алгебри для 7 класу автора В.Р. Кравчук, М.В. Підручна, Г.М. Янченко видавництва Підручники і посібники 2015 року вже прямо зараз братись за домашні завдання.
Готовые домашние задания и ответы для страницы или упражнения, решебник с алгебра 7 класс Кравчук