⇦ 58 60 ⇨

Готуватись до уроків простіше, тобі в цьому допоможе
Екстра ГДЗ
- Про портал
- Privacy Policy
- copyright

Готуватись до уроків простіше, тобі в цьому допоможе
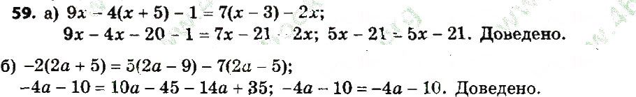
Вправа 59 гдз з алгебри 7 клас автора Бевз Г. П., Бевз В. Г.
розділ підручника:Розділ 1. цілі виразиТут повні відповіді та готові домашні завдання ГДЗ для сьомого класу з алгебри!
Готуйся з друзями, батьками чи однокласниками до уроків разом з 7 клас алгебра Бевз
Отримуй завжди високі бали! Бо відповіді та гдз Вправа 59 є перевірені і правильні. Відповідно у тебе є змога завжди за допомогою Екстра ГДЗ з алгебри для 7 класу автора Бевз Г. П., Бевз В. Г. видавництва Відродження 2015 року вже прямо зараз братись за домашні завдання.
Готовые домашние задания и ответы для страницы или упражнения, решебник с алгебра 7 класс Бевз