
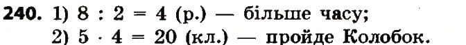
Усі готові домашні завдання (ГДЗ) та відповіді до номер завдання Вправа 240 гдз з математики 4 клас автора Будна Н.О., Беденко М.В розділ до підручника: Нумерація багатоцифрових чисел. Чотирицифрові числа
Хочеш відмінну оцінку?
Коли шукаєш в голосовому пошуку, скажи OK GOOGLE, а далі Екстра ГДЗ, свій клас і номер завдання, предмет і автора, для прикладу "Екстра ГДЗ 4 клас матем Будна, Буденко"
Правильні та повні відповіді, де кожна вправа, задача чи номер, розв'язок до яких здійснювався висококваліфікованими спеціалістами, є твоїм вірним помічником
Тому ви можете спокійно робити завдання, бо відповіді на Вправа 240 є перевірені і правильні. За допомогою Екстра ГДЗ з математики для 4 класу автора Будна Н.О., Беденко М.В видавництва Богдан 2015 року вже прямо зараз сідай і перевіряй свої домашні завдання.
Готовые домашние задания и ответы, решебник с математики 4 класс Будна