⇦ 185 187 ⇨

Правильні відповіді та готові домашні завдання, а саме
Екстра ГДЗ
- Про портал
- Privacy Policy
- copyright

Правильні відповіді та готові домашні завдання, а саме
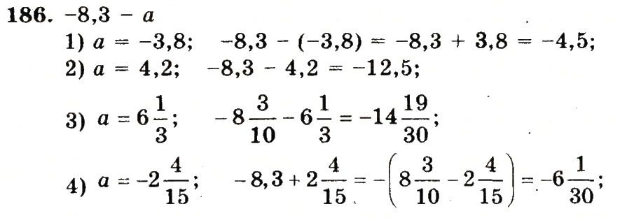
Вправа 186 – Варіант 1 гдз з математики 6 клас автора А.Г. Мерзляк, В.Б. Полонський, Ю.М. Рабінович, М.С. Якір
розділ підручника:Варіант 1Швидкий доступ до домашніх завдань разом з сайтом Екстра ГДЗ. Достатньо у своєму браузері зберегти закладку!
Готуйся з однокласниками до уроків разом з 6 клас матем Мерзляк
Отримуй завжди високі бали! Бо відповіді та гдз Вправа 186 – Варіант 1 є перевірені і правильно виконані. Тому у тебе є змога завжди за допомогою Екстра ГДЗ з математики для 6 класу автора А.Г. Мерзляк, В.Б. Полонський, Ю.М. Рабінович, М.С. Якір видавництва Київ Гімназія 2014 року вже прямо зараз братись за домашні завдання.
Готовые домашние задания и ответы для страницы или упражнения, решебник с математика 6 класс Мерзляк