⇦ 24.2 24.4 (1-3) ⇨

На даній сторінці надані відповіді для
Екстра ГДЗ
- Про портал
- Privacy Policy
- copyright

На даній сторінці надані відповіді для
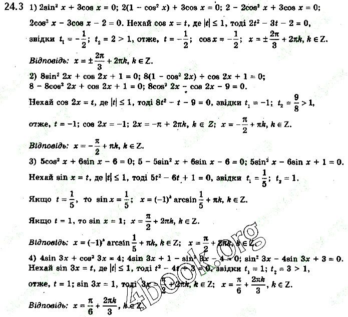
Вправа 24.3 гдз з алгебри 10 клас автора Нелін Є.П.
з розділу підручника: Розділ 4. Тригонометричні рівняння і нерівностіЖиви на яскравій стороні. Вчись на відмінно.
Мотиваційна фраза від Екстра ГДЗ: "Не турбуйтеся про те, щоб добре виглядати — турбуйтесь про досягнення своїх цілей"
Чому не обійтись без Вправа 24.3 гдз 10 клас алгебра Нелінпрофільний рівень?
Бо тут тільки перевірені відповіді та готові домашні завдання ГДЗ. Ці відповіді та гдз Вправа 24.3 допоможуть тобі швидко звіритись з виконаними завданнями на чорновику. Безпосередньо у тебе є змога завжди за допомогою Екстра ГДЗ з алгебри для 10 класу автора Нелін Є.П. видавництва Ранок 2018 року вже прямо зараз братись за перевірку домашніх шкільних завдань.Готовые домашние задания и ответы для страницы или упражнения, решебник с алгебра 9 класс Нелин