⇦ 111 113 ⇨

На даній сторінці надані відповіді для
Екстра ГДЗ
- Про портал
- Privacy Policy
- copyright

На даній сторінці надані відповіді для
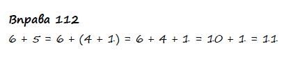
Вправа 112 гдз з математики 2 клас автора Листопад Н П
з розділу підручника: Додавання і віднімання одноцифрових чиселЖиви правильно. Вчись на відмінно.
Мотиваційна фраза від Екстра ГДЗ: "80% успіху — це з’явитися в потрібному місці в потрібний час."
Чому не обійтись без Вправа 112 гдз 2 клас матем Листопад НУШ?
Бо тут тільки перевірені відповіді та готові домашні завдання ГДЗ. Ці відповіді та гдз Вправа 112 допоможуть тобі швидко звіритись з виконаними завданнями на чорновику. Безпосередньо у тебе є змога завжди за допомогою Екстра ГДЗ з математики для 2 класу автора Листопад Н П видавництва Оріон 2019 року вже прямо зараз братись за перевірку домашніх шкільних завдань.Готовые домашние задания и ответы для страницы или упражнения, решебник с математика 2 класс Листопад